Pull Force and Installation Stresses – Vertical & Horizontal
Calculations
When pipes are installed by HDD, they often experience high tension loads, severe bending, and external fluid pressures. Often these installation loads are more severe than the design service loads. When selecting the appropriate pipe materials for an HDD installation, the designer must consider the pipe properties as well as the borehole profile. These two factors should be considered together in order to choose the best material and profile so that the pipeline can be installed and operated without risk of damage. To ensure that the material and bore-hole profile are suitable for the proposed application, the installation, operational, and combined loads and stresses are analyzed.
Pipe Weight in Air
πππππ€πππβπ‘ = 10.68(π·βπ‘)π‘
πππππ€πππβπ‘β Weight of the pipe (lbs/ft)
D – Pipe Outside Diameter (inch)
t – Pipe Wall Thickness (inch)
Pipe Exterior Volume

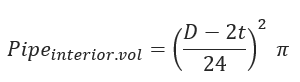
Pipe Interior Volume

Weight of Water in Pipe
(to be calculated only if the pipe is filled with water)
πππ‘πππ.π€πππβπ‘Β =Β πππππππ‘πππππ.π£ππΒ βΒ ππ€πππβπ‘
Displaced Mud Weight
π·ππ πππππππ’πππππβπ‘Β =Β ππππππ₯π‘.π£ππππ’ππ€π‘
Effective Weight of Pipe
ππΒ =Β πππππ€πππβπ‘Β +Β πππ‘πππβ’π€πππβπ‘Β βΒ π·ππ πππππππ’πππππβ
Straight section A-B
Friction from Soil
ππππ2Β =Β πππΏ1πππ ππ1πππππ
Drag Forces from Mud
π·πππ2Β =Β ππ·πΏ1π_ππ’
Tension on Section
βπ2Β = |ππππ2| +Β π·πππ2Β βΒ ππ πΏ1π πππ_π 1
Cumulative Pull Load
π2Β = βπ2Β +π1
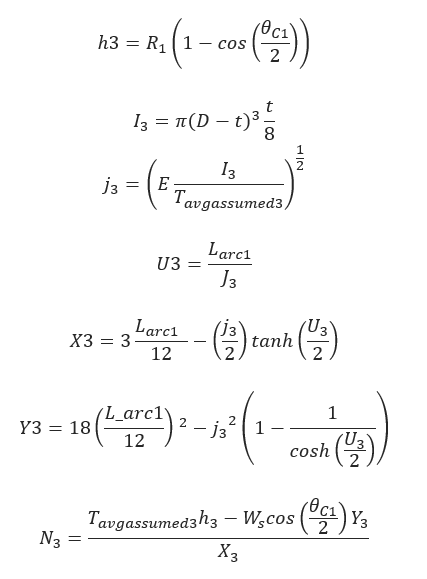
Curved Section B-C

Friction from Soil
ππππΒ = |π3πππππ|
Drag Forces from Mud
π·πππ3Β =Β ππ·πΏπππ1πππ’π
Tension on Section

Cumulative Pull Load
π3 = βπ3 + π2
Straight Section C-D
Friction from Soil
ππππ4Β = πππΏπ πππ πππππππ
Drag Forces from Mud
π·πππ4Β = ππ·πΏπ πππ’π
Tension on Section
βπ4Β =Β ππππ4Β +Β π·πππ4Β βΒ ππ πΏπ π ππππ
Cumulative Pull Load
π2Β = βπ4Β + 3
Β
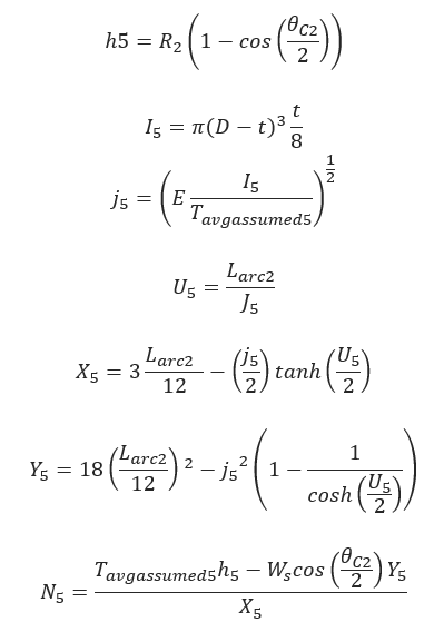
Curved Section D-E

Β
Friction from Soil
ππππΒ = |π3πππππ|
Drag Forces from Mud
π·πππ3Β =Β ππ·πΏπππ1πππ’π
Tension on Section

Β
Cumulative Pull Load
π3Β = βπ3Β + π2
Straight Section E-F
Friction from Soil
ππππ6Β =Β πππΏ2πππ ππ2πππππ
Drag Forces from Mud
π·πππ6Β = ππ·πΏ2πππ’π
Tension on Section
βπ6Β = |ππππ6| +Β π·πππ6Β +Β ππ πΏ1π πππ_π 1
Cumulative Pull Load
π6Β = βπ6Β +π5
Tensile Stress at a Point

Allowable Tensile Stress
πππ‘πππ π .πππππ€Β = 0.9ππππ
Bending Stress at a point

Allowable Bending Stress

Hoop Stress at a point

Allowable Hoop Stress

a. If 0.55ππππ β₯ A
b. If 0.55 SMYS β€ π β€ 1.6 ππππ
c. If 1.6 SMYS β€ π β€ 6.2 ππππ
d. Otherwise
Unity Check β Tensile and Bending Stress

Unity Check β Tensile, Bending & Hoop Stress

Input Parameters
- To create a new case, click the βAdd Caseβ button
- Select the Pull Force and Installation Stresses – Vertical application in the HDD Steel Pipe module
- Enter Case Name, Location, Date, and any necessary notes
- Fill out all required fields
- Make sure the values you are inputting are in the correct units
- Click the CALCULATE button
Pipe and Operational Characteristics:
- Nominal Pipe Size(in)
- Wall Thickness(in)
- Pipe Grade
- Pipe Outside Diameter(in)
- Pipe Entry Angle (Β°)
- SMYS – Specified Minimum Yield Strength(psi)
- Design Factor
- Young’s Modulus of Elasticity(psi)
- Poisson’s Ratio
- Coefficient of Friction: Pipe – Soil (0.21 – 0.3)
- Coefficient of Friction: Pipe – Rollers (0.1)
- Fluid Drag Coefficient (0.03 – 0.05) (psi)
- Mud Weight (lbs./ftΒ³)
- Water Weight(lb./ft)
- Pipe Filled with Water:
Installation and Site Characteristics:
- Measured Length: Section A-B
- Pipe Entry Angle (Β°)
- R1 – Radius of Curvature
- Measured Length: Section B-C
- Measured Length: Section C-D
- Pipe Exit Angle (Β°)
- R2- Radius of Curvature
- Measured Length: Section D-E
- Pipe Exit Angle (Β°)
- Measured Length: Section E-F
- Pipe Above Ground Section on Rollers
- Angle of Pipe Above Ground on Rollers
- Maximum Load Factor
- Safety Factor



Outputs/Reports
- View the results
- If an input parameter needs to be edited be sure to hit the CALCULATE button after the change
- To SAVE, fill out all required case details then click the SAVE button
- To rename an existing file, click the SAVE As button. Provide all case info then click SAVE
- To generate a REPORT, click the REPORT button
- The user may export the Case/Report by clicking the Export to Excel/PowerPoint icon
- To delete a case, click the DELETE icon near the top of the widget
- Length of the Straight Section A-B
- Length of the Curved Section B-C
- Length of the Straight Bottom Section C-D
- Length of the Curved Section D-E
- Length of the Straight Section E-F
- Total Length of the Borehole

- Effective Submerged Weight (lb./ft)
- Pull Load Section on Rollers (lb.)
- Pull Load Straight Section 0-1 (lb.)
- Pull Load at Point 1 (lb.)
- Pull Load Curved Section 1-2 (lb.)
- Pull Load at Point 2 (lb.)
- Pull Load Straight Section 2-3 (lb.)
- Pull Load at Point 3 (lb.)
- Pull Load Curved Section 3-4 (lb.)
- Pull Load at Point 4 (lb.)
- Pull Load Straight Section 4-5 (lb.)
- Total Pull Load at Point 5 (lb.)
- Maximum Allowable Pull Force (lb.)

Pass/Fail:
- Allowable Tensile Stress (psi)
- Total Tensile Stress (psi)
Pass/Fail:
Select Point of Interest (B)
- Tensile Stress(psi)
- Allowable Tensile Stress(psi)
- Bending Stress(psi)
- Allowable Bending Stress(psi)
- Hydrostatic Mud Pressure(psi)
- External Hoop Stress(psi)
- Allowable Elastic Hoop Buckling
- Combined Load Interaction at Point
- Unity Check: Tensile and Bending
- Unity Check: Tensile, Bending, and External Hoop

Select Point of Interest (C)
- Tensile Stress(psi)
- Allowable Tensile Stress(psi)
- Bending Stress(psi)
- Allowable Bending Stress(psi)
- Hydrostatic Mud Pressure(psi)
- External Hoop Stress(psi)
- Allowable Elastic Hoop Buckling
- Combined Load Interaction at Point
- Unity Check: Tensile and Bending
- Unity Check: Tensile, Bending, and External Hoop

Select Point of Interest (D)
- Tensile Stress(psi)
- Allowable Tensile Stress(psi)
- Bending Stress(psi)
- Allowable Bending Stress(psi)
- Hydrostatic Mud Pressure(psi)
- External Hoop Stress(psi)
- Allowable Elastic Hoop Buckling
- Combined Load Interaction at Point
- Unity Check: Tensile and Bending
- Unity Check: Tensile, Bending, and External Hoop

Select Point of Interest (E)
- Tensile Stress(psi)
- Allowable Tensile Stress(psi)
- Bending Stress(psi)
- Allowable Bending Stress(psi)
- Hydrostatic Mud Pressure(psi)
- External Hoop Stress(psi)
- Allowable Elastic Hoop Buckling
- Combined Load Interaction at Point
- Unity Check: Tensile and Bending
- Unity Check: Tensile, Bending, and External Hoop

Select Point of Interest (F)
Tensile Stress(psi)- Allowable Tensile Stress(psi)
- Bending Stress(psi)
- Allowable Bending Stress(psi)
- Hydrostatic Mud Pressure(psi)
- External Hoop Stress(psi)
- Allowable Elastic Hoop Buckling
- Combined Load Interaction at Point
- Unity Check: Tensile and Bending
- Unity Check: Tensile, Bending, and External Hoop
Related Links
Pipeline HUB β User ResourcesPLTB Gas & Liquid Services – Horizontal Direction Drill – Steel Pipes
Table of Contents
Table of Pages
Table of Contents
- Pipeline HUB User Resources
- AC Mitigation PowerTool
- API Inspector's Toolbox
- Horizontal Directional Drilling PowerTool
- Crossings Workflow
- Hydrotest PowerTool
- Pipeline Toolbox
- Encroachment Manager
- PRCI AC Mitigation Toolbox
- PRCI RSTRENG
- RSTRENG+
- Ad-hoc Analysis
- Database Import
- Data Availability Dashboard
- ESRI Map
- Report Builder
- Crossings Workflow
- Hydrotest PowerTool
- Investigative Dig PowerTool
- Hydraulics PowerTool
- External Corrosion Direct Assessment Procedure - RSTRENG
- Canvas
- Definitions
- Pipe Schedule and Specifications Tables