Parallel Grid Explosive Charge

Radial ground motions are in a direction perpendicular to the explosive line. The effective length (L) of the equally spaced line of charges is the number of charges multiplied by the spacing between them.
Prediction methods developed are general enough to provide reasonable stress estimates over a wide range of scaled parameters. Some exceptions to the general procedures will exist as a result of explosive geometric configurations i.e. 90 degrees.
Minimum distance from the pipeline to the nearest explosive charge must be greater than two times outside pipe diameter.

PTLB Pipe Blast 2.4_Intro.png

Maximum allowable angle between pipe and explosive line must be less than 90˚



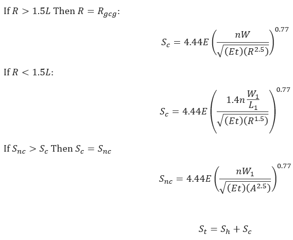
𝐴 βˆ’ Distance from the Charge to the Pipeline(ft)
𝑅 βˆ’ Equivalent Standoff Distance(ft)
𝐡 βˆ’ Angle Between Pipe and Grid,deg., convert to Radians=𝐡(0.0175)
𝑃 βˆ’ MAOP βˆ’ Maximum Allowable Operating Pressure(psi)
𝐷 βˆ’ Pipeline Outside Diameter(in)
𝑑 βˆ’ Pipe Wall Thickness(in)
π‘†β„ŽΒ βˆ’ Hoop Stress(psi)

PTLB Pipe Blast 2.4_Intro 2.png

πΏΒ βˆ’ Total Length of Explosive Line(ft)
𝐿1Β βˆ’ Spacing Length Between Charges in Explosive Line(ft)
π‘ŠΒ βˆ’ Total Charge Weight(lbs)
π‘Š1Β βˆ’ Weight of Single Charge(lbs)
𝑁1Β βˆ’ Number of Charges in Explosive Line

PTLB Pipe Blast 2.4_Intro 3.png

PTLB Pipe Blast 2.4_Intro 4.png

π‘†π‘Β βˆ’ Maximum Circumferential=,𝑆-𝑙.βˆ’Maximum Longitudinal Stress(psi)
𝑛 βˆ’ Equivalent Energy Release Ratio
π‘Š βˆ’ Weight of Single Charge(lbs)
𝐸 βˆ’ Modulus of Elasticity
𝑑 βˆ’ Pipe Wall Thickness(in)
π‘†π‘‘Β βˆ’ Combined Hoop and Circumferential Stress(psi)
PTLB Pipe Blast 2.1_Intro 3.png

Blasting Conditions for combined Stress Level
πΆπ‘Žπ‘™π‘†π‘€π‘Œπ‘†>%π‘†π‘€π‘Œπ‘†βˆ’NOT ACCEPTABLE/πΆπ‘Žπ‘™π‘†π‘€π‘Œπ‘†<%π‘†π‘€π‘Œπ‘†βˆ’ACCEPTABLE

Input Parameters

  1. To create a new case, click the β€œAdd Case” button
  2. Select the Parallel Grid Explosive Charge application from the Pipe Blast module.
  3. Enter Case Name, Location, Date and any necessary notes.
  4. Fill out all required fields.
  5. Make sure the values you are inputting are in the correct units.
  6. Click the CALCULATE button.
  • Pipe Outside Diameter
  • Pipe Wall Thickness
  • Specified Minimum Yield Strength
  • Maximum Allowable Combined Stress Level – SMYS
  • Manufacturer
  • Explosive Type
  • Equivalent energy release ratio
  • MAOP – Maximum Allowable Operating Pressure
  • N1 – Number of Charges in Front Row of Explosive Grid
  • N2 – Number of Rows Making the Explosive Grid
  • L1 – Spacing Length Between Charges in Explosive Line
  • L2 – Spacing Length Between Explosive Lines
  • W1 – Weight of Single Charge
  • n – Equivalent Energy Release Ratio
  • A – Distance of the Nearest Charge toΒ Pipeline

PLTB Pipe Blast 2.4_Input Revision 082720.png

Outputs/Reports

  1. View the results.
  2. If an input parameter needs to be edited be sure to hit the CALCULATE button after the change.
  3. To SAVE, fill out all required case details then click the SAVE button.
  4. To rename an existing file, click the SAVE As button. Provide all case info then click SAVE.
  5. To generate a REPORT, click the REPORT button.
  6. The user may export the Case/Report by clicking the Export to Excel/PowerPoint icon.
  7. To delete a case, click the DELETE icon near the top of the widget.
  • Equivalent Standoff Distance
  • Total Charge Weight
  • Sh – Hoop Stress
  • Sc-Maximum Circumferential = Sl-Maximum Longitudinal Stress
  • St – Combined Hoop && Circumferential Stress
  • S – Total Combined Stress
  • Calculated Percent of SMYS
  • Blasting Conditions for Combined Stress Level:

PLTB Pipe Blast 2.4_Output Revision 082720.png

Related Links

Pipeline HUB β€” User Resources

Table of Contents
Table of Pages
Table of Contents
  1. Pipeline HUB User Resources
  2. AC Mitigation PowerTool
  3. API Inspector's Toolbox
  4. Horizontal Directional Drilling PowerTool
  5. Crossings Workflow
  6. Hydrotest PowerTool
  7. Pipeline Toolbox
  8. Encroachment Manager
  9. PRCI AC Mitigation Toolbox
  10. PRCI RSTRENG
  11. RSTRENG+
  12. Ad-hoc Analysis
  13. Database Import
  14. Data Availability Dashboard
  15. ESRI Map
  16. Report Builder
  17. Crossings Workflow
  18. Hydrotest PowerTool
  19. Investigative Dig PowerTool
  20. Hydraulics PowerTool
  21. External Corrosion Direct Assessment Procedure - RSTRENG
  22. Canvas
  23. Definitions
  24. Pipe Schedule and Specifications Tables