Design Pressure – Steel Pipe
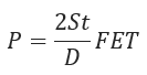
Design pressure for steel pipe is calculated using Barlow’s Equation. The design pressure for steel pipe is determined in accordance with the following formula:

P = Design pressure in pounds per square inch (kPa) gage.
S = yield strength in pounds per square inch (kPa) determined in accordance with 195.106.
D = Nominal outside diameter of the pipe in inches (millimeters).
t = Nominal wall thickness of the pipe in inches (millimeters). If this is unknown, it is determined in accordance with 195.106. Additional wall thickness required for concurrent external loads in accordance with 195.110 may not be included in computing design pressure.
F = Design factor determined in accordance with 195.106.
E = Longitudinal joint factor determined in accordance with 195.106.
T = temperature derating factor determined in accordance with 195.102.
Design factor (F) for steel pipe
A design factor of 0.72, except that a design factor of 0.60 is used for pipe, including risers, on a platform located offshore Means beyond the line of ordinary low water along that portion of the coast of the United States that is in direct contact with the open seas and beyond the line marking the seaward limit of inland waters or on a platform in inland navigable waters, and 0.54 is used for pipe that has been subjected to cold expansion to meet the specified minimum yield strength and is subsequently heated, other than by welding or stress relieving as a part of welding, to a temperature higher than 900°F (482°C) for any period of time or over 600°F (316°C) for more than 1 hour.
Longitudinal joint factor (E) for steel pipe

Temperature derating factor (T) for steel pipe Table

Input Parameters
- Select the Design Pressure – Steel Pipe application from the Steel Pipe – Design and Stress Analysis module
- To create a new case, click the “+” button
- Enter Case Name, Location, Date, and any necessary notes
- Fill out all required fields
- Make sure the values you are inputting are in the correct units
- Click the CALCULATE button
- Nominal Pipe Size(in)
- Wall Thickness(in) and pipe grade (if pipe grade is unknown regulations require an operator to use Grade A 24000
- Design Factor
- E – Longitudinal Joint Factor
- T – Temperature Derating Factor(°F).

Outputs/Reports
View the results.
If an input parameter needs to be edited be sure to hit the CALCULATE button after the change.
To SAVE, fill out all required case details then click the SAVE button.
To rename an existing file, click the SAVE As button. Provide all case info then click SAVE.
To generate a REPORT, click the REPORT button.
The user may export the Case/Report by clicking the Export to Excel/PowerPoint icon.
To delete a case, click the DELETE icon near the top of the widget.
The single output this calculation provides is Design Pressure in(psi).
Related Links
Pipeline Design & Stress Analysis
Table of Contents
Table of Pages
Table of Contents
- Pipeline HUB User Resources
- AC Mitigation PowerTool
- API Inspector's Toolbox
- Horizontal Directional Drilling PowerTool
- Crossings Workflow
- Hydrotest PowerTool
- Pipeline Toolbox
- Encroachment Manager
- PRCI AC Mitigation Toolbox
- PRCI RSTRENG
- RSTRENG+
- Ad-hoc Analysis
- Database Import
- Data Availability Dashboard
- ESRI Map
- Report Builder
- Crossings Workflow
- Hydrotest PowerTool
- Investigative Dig PowerTool
- Hydraulics PowerTool
- External Corrosion Direct Assessment Procedure - RSTRENG
- Canvas
- Definitions
- Pipe Schedule and Specifications Tables