Colebrook – White
The Colebrook-White equation is recommended for use by those unfamiliar with pipeline flow equations. It will produce the greatest consistency of accuracy over the widest possible range of variables. The Colebrook Equation has good accurate results for lower flow rates (150-250 MMSCFD); However, larger errors exist above a 250 MMSCFD flow rate.
The friction factor is solved using the Newton-Raphson method.

๐ โ Friction Factor
D โ Inside Pipe Diameter[in]
๐ โ Pipe Roughness[in]
ย

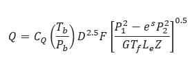
๐น โ Transmission Factor
ย

๐ โ Flow Rate (FT3/day)
๐ถ๐ โ 38.774
๐๐ โTemperature Base (ยฐR)
๐๐ โ Pressure Base (psi)
๐๐ โ Gas Flowing Temperature (ยฐR)
๐ท โ Internal Diameter (in)
๐น โ Transmission Factor
๐ โ Pipe Roughness
๐1 โ Upstream Pressure (psi)
๐2 โ Downstream Pressure (psi)
๐บ โ Gas Specific Gravity
๐ โ Compressibility Factor
Le โ Pipe Segment Length including Expansion (mi)
ย

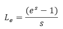
๐ โ Elevation adjustment parameter
CS โ 0.0375
๐ โ Compressibility Factor
๐๐ โ Gas Flowing Temperature (ยฐR)
โ๐ป๐บ โ Change in Elevation (ft)
ย

๐ฟ๐ โ Pipe Segment Length including Expansion (mi)
๐ โ Elevation adjustment parameter
ย

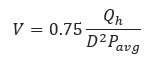
๐ โ Velocity (ft/sec)
๐โ โ Volumetric flow rate (scf/hr)
๐ท โ Internal Diameter (in)
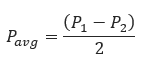
๐๐๐ฃ๐ โ Average Pipeline Pressure (psia)
ย
๐ ๐จ๐ซ ๐ฌ๐ฆ๐๐ฅ๐ฅ ๐ฉ๐ซ๐๐ฌ๐ฌ๐ฎ๐ซ๐ ๐๐ซ๐จ๐ฉ ๐ท๐ > ๐.๐๐ท๐:

๐ ๐จ๐ซ ๐ฅ๐๐ซ๐ ๐ ๐ฉ๐ซ๐๐ฌ๐ฌ๐ฎ๐ซ๐ ๐๐ซ๐จ๐ฉ:

ย
Input Parameters
- To create a new case, click the โAdd Caseโ button
- Select the Unknown and desired Flow Equation
- Enter Case Name, Location, Date, and any necessary notes
- Fill out all required fields
- Make sure the values you are inputting are in the correct units
- Click the CALCULATE button
- Temperature base(ยฐF)
- Pressure base(psia)
- Gas Flowing Temperature(ยฐF)
- Gas Specific Gravity
- Compressibility Factor
- Pipeline Efficiency Factor
- Upstream Pressure(psig)
- Flow Rate(MCFD)
- Internal Pipe Diameter(in)
- Length of Pipeline(mi)
- Upstream Elevation(ft)
- Downstream Elevation(ft)
Outputs/Reports
- View the results
- If an input parameter needs to be edited be sure to hit the CALCULATE button after the change
- To SAVE, fill out all required case details then click the SAVE button
- To rename an existing file, click the SAVE As button. Provide all case info then click SAVE
- To generate a REPORT, click the REPORT button
- The user may export the Case/Report by clicking the Export to Excel/PowerPoint icon
- To delete a case, click the DELETE icon near the top of the widget
- Flow Rate(ft/sec.)
- Transmission Factor
- Velocity(ft/sec.)
- Upstream Pressure(psi)
- Transmission Factor
- Velocity(ft/sec.)
- Downstream Pressure(psi)
- Transmission Factor
- Velocity(ft/sec.)
- Internal Pipe Diameter(in)
- Transmission Factor
- Velocity(ft/sec.)
- Erosional Velocity
- Sonic Velocity
Flow Rate

Upstream Pressure

Downstream Pressure

Internal Pipe Diameter

ย
Related Links
Pipeline HUB โ User ResourcesPipeline Hydraulics
Table of Contents
Table of Pages
Table of Contents
- Pipeline HUB User Resources
- AC Mitigation PowerTool
- API Inspector's Toolbox
- Horizontal Directional Drilling PowerTool
- Crossings Workflow
- Hydrotest PowerTool
- Pipeline Toolbox
- Encroachment Manager
- PRCI AC Mitigation Toolbox
- PRCI RSTRENG
- RSTRENG+
- Ad-hoc Analysis
- Database Import
- Data Availability Dashboard
- ESRI Map
- Report Builder
- Crossings Workflow
- Hydrotest PowerTool
- Investigative Dig PowerTool
- Hydraulics PowerTool
- External Corrosion Direct Assessment Procedure - RSTRENG
- Canvas
- Definitions
- Pipe Schedule and Specifications Tables